关键词:碳纳米管;聚合物复合材料;分子动力学模拟;弹性模量
1、案例背景
碳纳米管(CNTs)因其独特的机械、光学和电子特性,成为材料科学领域中的热门研究对象。自1991年Iijima发现碳纳米管以来,CNTs的应用不断扩展,特别是在增强聚合物力学性能方面,显示出巨大潜力。将单壁碳纳米管(SWCNTs)添加到聚合物中,能够显著提升其强度、刚度、导电性等性质。然而,添加过多的碳纳米管可能会降低复合材料的力学性能,甚至造成不良的界面相容性和分散性,影响负载传递和整体性能。因此,探索碳纳米管在聚合物中的有效分散和增强机制,对于设计性能优异的聚合物/碳纳米管复合材料至关重要。本案例通过分子动力学模拟,预测了聚合物-单壁碳纳米管复合材料的弹性模量,并分析了不同浓度、尺寸和结构的碳纳米管对复合材料力学性能的影响。
2、建模与计算方法
作者利用MedeA Nanotubes...功能创建了锯齿型、椅型、手性型的单壁碳纳米管;使用Amorphous Builder功能创建了纯聚丙烯(PP)、聚乙烯醇(PEMA)和聚苯乙烯(PS)的无定形结构。随后将不同浓度及不同类型的碳纳米管填入聚合物当中,成功构建了多种类的聚合物-碳纳米管复合材料。作者采用MedeA LAMMPS模块开展分子动力学模拟,力场为PCFF+,长程静电相互作用使用Ewald算法进行计算,截断半径为9.5 Å,采用NVT、NPT系综模拟;采用Berendsen控温及控压;并结合MT模块计算得到了各结构的弹性常数。
3、结果与讨论
3.1 碳纳米管的浓度影响
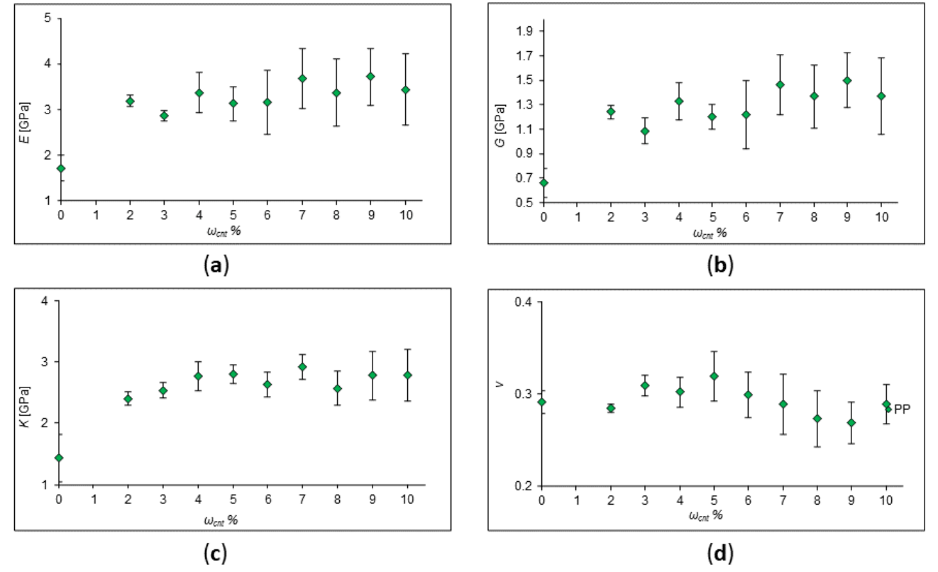
作者利用MedeA LAMMPS结合MT模块 研究了在聚丙烯(PP)中添加不同浓度锯齿状碳纳米管(CNT)后的机械性能。研究结果表明,在低于10%的单壁碳纳米管(SWCNTs)浓度下,纳米管可以提高聚合物的弹性模量,但这种增强是非线性的。随着SWCNT浓度的增加,杨氏模量、剪切模量和体积模量的值虽然降低,但在浓度低于60%时仍高于未填充聚合物。进一步增加SWCNT浓度会导致弹性模量急剧下降,可能是由于聚合物不足以通过范德瓦尔斯力将SWCNT结合在一起,导致复合材料的破坏(见图1和图2)。
图1纯聚丙烯(PP)及SWCNT浓度为2-10%的PP的弹性模量计算值。(a) 杨氏模量的变化;(b) 剪切模量的变化;(c) 体积模量的变化;(d) 泊松比的变化。
在玻璃转变温度的研究中,结果显示SWCNT的加入导致复合材料的玻璃转变温度(Tg)升高,因为聚合物链的流动性降低,使得非晶聚合物变得更加刚性(见图2)。尽管如此,某些情况下,添加CNT也可能导致玻璃转变温度的降低。总体而言,填料的引入影响了聚丙烯基体的结晶行为和结构,CNT在聚合物基体中的分布对于获得高强度材料至关重要,但弱的界面相互作用和结构缺陷可能导致机械性能和热稳定性的降低,从而影响复合材料的整体性。
图2 纯聚丙烯(PP)、聚乙烯醇(PEMA)和聚苯乙烯(PS)的弹性模量计算值,以及SWCNT浓度为19-70%的PP、PEMA和PS的弹性模量计算值。(a) 杨氏模量的变化;(b) 剪切模量的变化;(c) 体积模量的变化;(d) 泊松比的变化;(e)玻璃转变温度与聚丙烯基体中CNT质量分数的关系。
3.2 碳纳米管尺寸影响
随后研究了纳米管尺寸对复合材料强度特性的影响。为了保持塑性和强度,纳米管需“隐藏”在聚合物基体中。研究发现,随着纳米管半径的增加,聚丙烯中SWCNT的直径增加导致杨氏模量、体积模量和剪切模量的提升。此外,通过添加锯齿状CNT获得了聚丙烯和聚(乙基丙烯酸甲酯)的弹性模量依赖关系研究得出,在高浓度下,复合材料的弹性模量对碳纳米管的直径依赖性不显著,并且可能存在一个CNT直径的临界值,超过该值后复合材料的强度特性将下降,如图3和图4所示。
图3 复合材料中不同SWCNT直径对弹性模量的影响,基体为聚丙烯(PP)。聚丙烯中的SWCNT浓度为5%。(a) 杨氏模量的变化;(b) 剪切模量的变化;(c) 体积模量的变化;(d) 泊松比的变化。
图4 复合材料中不同SWCNT直径对弹性模量的影响,基体为聚丙烯(PP)和聚乙烯醇(PEMA)。SWCNT浓度为30%。(a) 杨氏模量的变化;(b) 剪切模量的变化;(c) 体积模量的变化;(d) 泊松比的变化。
3.3 碳纳米管类型的影响
众所周知,碳纳米管是一种碳的同素异形体,具有中空的圆柱结构。纳米管具有特定的手性,由两个整数 (m, n) 表征,这两个整数决定了六边形网格的相对位置。碳纳米管的结构对其性能有显著影响,这也会影响复合材料的性能。根据杨氏模量的计算,发现“椅型”和“锯齿型”构型的碳纳米管(杨氏模量分别为 935.8 GPa 和 935.3 GPa)比同直径的手性构型管(杨氏模量为 918.3 GPa)更强。随后研究了椅型、锯齿型和手性纳米管(手性指数分别为 (5,5)、(9,0) 和 (7,3),如图 5 所示)对复合材料的作用。结果表明,尽管在高浓度下,不同类型纳米管的杨氏模量、剪切模量、泊松比和体积模量差异不大,但碳纳米管的分散性、浓度和大小对复合材料的强度特性影响更大(图6)。
图5 计算中使用的单壁碳纳米管(SWNT)类型:(a) 锯齿型;(b) 椅型;(c) 手性型。图中显示了碳纳米管的手性指数 (m, n)。三种碳纳米管都具有大约7 Å 的相同直径。
图6 纯聚丙烯(PP)以及添加锯齿型、椅型和手性单壁碳纳米管(SWCNTs)的PP,在32-65%的浓度下计算得到的弹性模量值。(a) 杨氏模量的变化;(b) 剪切模量的变化;(c) 体积模量的变化;(d) 泊松比的变化。
3. 总结与展望
本案例通过原子级分子动力学模拟探讨了SWCNTs对聚合物复合材料弹性模量的影响。结果显示,SWCNTs浓度的增加初期可以提高材料的强度,但超过临界质量后强度迅速下降。此外,纳米管浓度的增加也提高了材料的玻璃化转变温度,但这种效应仅在填料含量未超过临界值时有效。研究还发现,SWCNTs的直径对复合材料的强度有影响,大直径纳米管可能降低材料强度。在高浓度下,纳米管的具体结构类型对复合材料的强度影响不大。这些发现对于设计和优化碳纳米管增强的聚合物复合材料具有重要意义。
参考文献:
https://doi.org/10.3390/ijms241411807



