关键词:负极材料、PC6单层、掺杂、锂电池、二维材料
1、案例背景
二维(2D)材料如石墨烯、磷烯、过渡金属硫化物及Mxenes等,它们具有优异的导电性、大的层间距及大的表面积等优点,是用作碱金属离子电池的潜力材料。然而,这些材料仍无法达到可充电电池的性能标准。因此,寻找高充电效率、高容量的电池材料是提高电池性能的关键步骤。除石墨烯外,磷烯是唯一可机械剥离且稳定的二维材料,其中PC6是C和P形成的稳定磷化碳单层,表现出较高的热力学稳定性和理论存储容量。N掺杂PC6已被证明是锂离子电池理想负极材料,考虑到PC6优异性能,有必要研究S、B掺杂PC6电化学性能。本文通过密度泛函理论计算方法(DFT)评估了S、B掺杂的PC6作为锂离子电池负极材料的性能,包括结构稳定性、吸附性能、扩散性能和平均开路电压。结果表明,α-PC5.875B0.125单层是锂离子电池理想的负极材料。
2、建模与计算方法
作者通过MedeA Environment创建了PC6单层结构,用Supercell Builder功能创建2x2x1超胞体系,随后分别创建S、B掺杂PC6结构;采用MedeA VASP模块中GGA-PBE方法,对PC6及掺杂结构进行结构优化并计算电子性质,计算中体系截断能为500 eV,K点为3x3x1,力收敛精度为0.01eV À-1;并对体系进行AIMD模拟,使用NVT系综在300 K下运行10 ps,时间步长为2 fs,验证体系热稳定性,通过MedeA Phonon模块,研究掺杂体系动力学稳定性。随后通过MedeA TSS模块研究Li离子扩散路径及扩散能垒。
3、结果与讨论
3.1 B、S掺杂PC6结构研究
作者通过MedeA Environment创建PC6单层结构,并创建2x2x1超胞体系,随后进行B、S掺杂,见图1。PC6结构中S取代P,形成S掺杂体系,结构表示为PC6.857S0.143(图1b);B掺杂体系考虑两个掺杂位点:位于中心C6环上邻近C(α-PC5.875S0.125)与P结合及间隙C(β-PC5.875B0.125)位置。随后用MedeA VASP计算S及B掺杂PC6结构形成能,PC6.857S0.143、α-PC5.875S0.125及β-PC5.875B0.125形成能(Ef)分别为1.08 eV、0.29 eV及0.38 eV,表明掺杂原子进入体相结构需借助额外能量。然而三种掺杂体系的内聚能(Ecoh)分别为-8.25 eV、-8.25 eV及-8.24 eV,Ecoh均为负值,理论上三种掺杂体系结构是稳定的。α-PC5.875B0.125体系所需额外能量少且内聚能较低,表面该位置更易实现掺杂。

图1 (a) PC6结构; (b)PC6.857S0.143 ; (c) α-PC5.875B0.125; (d)β-PC5.875B0.125
为确定掺杂体系稳定性,作者用MedeA Phonon模块分析掺杂体系动力学稳定性(见图2),MedeA VASP中AIMD分析热稳定性(见图3):
(1)图2可知,PC6.857S0.143、α-PC5.875B0.125及β-PC5.875B0.125均没有虚频,说明三种掺杂体系是稳定的;
(2)图3中AIMD模拟300 K下PC6.857S0.143、α-PC5.875B0.125及β-PC5.875B0.125没有变形,总能量波动范围较小,表明它们在室温下具有良好的热稳定性。

图2 声子谱 (a)PC6.857S0.143 ; (b) α-PC5.875B0.125; (c)β-PC5.875B0.125

图3 AIMD模拟 (a)PC6.857S0.143 ; (b) α-PC5.875B0.125; (c)β-PC5.875B0.125
3.2 PC6.857S0.143和α-PC5.875B0.125上吸附及离子迁移研究
3.2.1 PC6.857S0.143和α-PC5.875B0.125上Li原子吸附
作者通过MedeA VASP计算了Li原子在PC6.857S0.143和α-PC5.875B0.125上吸附,S1位点(见图4)吸附能最低,PC6.857S0.143和α-PC5.875B0.125上Li吸附能分别为-0.57 eV、-0.81 eV,这表明。PC6.857S0.143和α-PC5.875B0.125上最佳吸附位点均为S1。

图4 吸附位点:左图PC6.857S0.143上 ; 右图α-PC5.875B0.125 ;
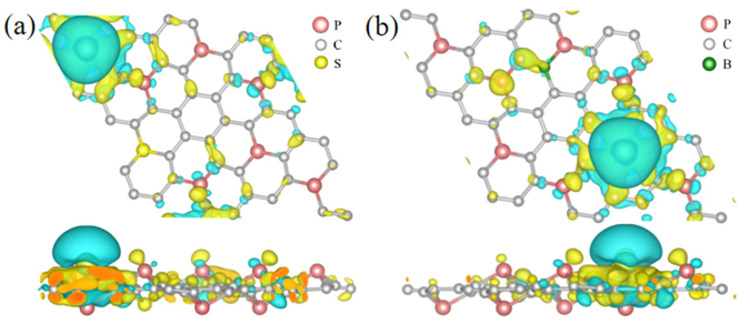
为了进一步理解Li原子在 PC6.857S0.143和α-PC5.875B0.125上吸附,作者计算了各体系差分电荷密度(见图5)。从图中可知,吸附过程中,电子从Li原子上转移到 PC6.857S0.143、α-PC5.875B0.125。Bader电荷分析,Li原子分别以0.91e-、0.93e-转移到 PC6.857S0.143、α-PC5.875B0.125单层,表明这种吸附是化学吸附,两者之间有强烈的库伦相互作用。

图5 差分电荷密度 (a)PC6.857S0.143上 ; (b) α-PC5.875B0.125 ;
3.2.2 PC6.857S0.143和α-PC5.875B0.125上Li迁移
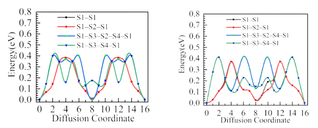
锂离子高迁移率和低扩散能垒是负极材料追求的指标。作者通过MedeA TSS中CI-NEB方法,研究了锂离子在PC6.857S0.143和α-PC5.875B0.125表面上的迁移(见图6)。从图中可知,PC6.857S0.143和α-PC5.875B0.125两种结构上,锂离子更倾向沿着S1-S1或S1-S2-S1路径迁移,能垒分别均为0.38 eV、0.37eV。PC6表面上Li迁移能垒(0.47 eV)相比,PC6.857S0.143和α-PC5.875B0.125表面上锂离子迁移能垒更低,掺杂是降低迁移能垒的有效手段。同时计算理论容量,PC6.857S0.143结构理论最大存储容量为519.77 mAh/g ;α-PC5.875B0.125为718.56 mAh/g,其理论最大存储容量高于其他二维负极材料。

图6 迁移路径:左图PC6.857S0.143 上; 右图 α-PC5.875B0.125;
4、总结与展望
本案例中,作者基于密度泛函理论硫、硼掺杂的PC6单层在锂离子电池中的潜在应用。硫、硼掺杂提高了PC6的电导率,降低了PC6.857S0.143和α-PC5.875B0.125上锂离子迁移能垒;特别是α-PC5.875B0.125理论存储容量为718.56 mAh/g ,高于其他二维负极材料。研究表明α-PC5.875B0.125是一种潜在的高性能锂离子电池负极材料。
参考文献: DOI: 10.1007/s10008-024-06148-2 使用MedeA模块: MedeA Environment MedeA VASP MedeA Phonon MedeA TSS



