金属锆、机器学习、神经网络、分子动力学、Zr-H、力学性质、表面能
1、案例背景
锆(Zr)因其具有低中子吸收截面、优异的机械性能及耐腐蚀等特性,在核反应堆中发挥着重要作用。特别是在反应堆操作条件下易产生氢气,氢气被吸收到锆合金中形成氢化物相导致锆合金发生断裂。对应Zr及Zr-H体系性质研究如果使用密度泛函理论(DFT),会消耗大量计算资源。该案例基于神经网络方法,在Behler-Parrinello框架内开发了Zr-H的神经网络势函数(NNP),能够在保持DFT精度的同时,更高效地计算锆及锆合金力学性质,预防氢脆现象
2、建模与计算方法
(1)训练集
作者先在MedeA Environment中借助InfoMaticA工具检索了锆的hcp、fcc和bcc相、六方ω相,并加入各种涉及H的结构,包括hcp Zr四面体、八面体间隙中含H,hcp Zr表面有单个氢原子等。此外还加入由MedeA VASP模块在1000 K进行的分子动力学模拟轨迹。最终的数据集包含4613个结构,381272个原子环境(231745个围绕Zr原子的环境,149527个围绕H原子的环境)。数据集中随机选取90%的结构用来训练,10%结构则作为初始测试,用于评估神经网络势函数(NNP)的质量。
(2)DFT参数
训练集内结构使用MedeA VASP结合MedeA HT-Launchpad进行高通量DFT计算,得到精确能量,计算时选用基于广义梯度近似(GGA)的PBE泛函,设置的平面波截断能为520 eV,K点为间距0.2 Å-1的 Monkhorst-Pack网格,选用Gaussian积分,展宽为0.05 eV。
3、结果与讨论
3.1 机器学习势训练
本案例中使用MedeA MLPG模块进行Zr及Zr-H体系机器学习势训练,得到equation of states(EOS)。bcc相和hcp相Zr及Zr-H的EOS曲线见图1,当α/α0 >0.85 NNP与DFT结果吻合的较好,高压缩应变时(α/α0 <0.85)EOS曲线随压缩增加而增大,NNP与DFT结果有一定偏差。

图1. EOS曲线,NNP预测值与DFT计算值
3.2 力学性质
作者基于NNP,采用MedeA VASP结合MedeA MT模块计算Zr及Zr-H的晶格常数、弹性系数、表面能、层错能等性质,将得到的结果与DFT结果以及实验值对比,结果如表1所示。总体而言,NNP表现良好。
表1. NNP计算得到的材料晶格参数、弹性系数、表面能等与DFT结果以及实验值的对比

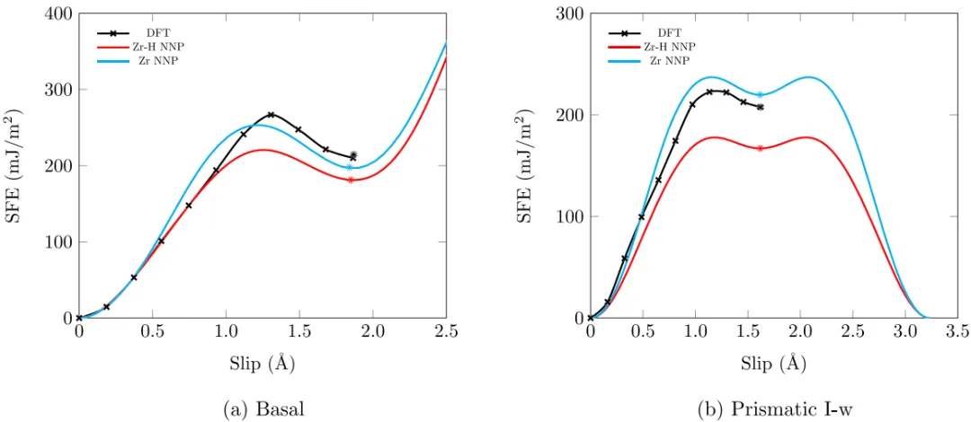
层错能与金属的塑性和断裂相关,在预测塑性形变是非常重要。图2显示了NNP计算得到的GSFE(广义层错能)与DFT值对比。NNP计算值与DFT吻合较好。

图2. NNP及DFT得到的GFSE曲线对比
3.3 Zr-H中H迁移路径
作者借助MedeA VASP结合MedeA TSS模块,采用DFT和NNP计算H在hcp相Zr中迁移路径(见表2及图3)。NNP能准确计算H更倾向于T(四面体位点)位点,T-T迁移能垒与DFT较接近;其余迁移能垒在DFT值误差10%以内。
表2. NNP及DFT计算H在Zr中迁移能垒


图3. NNP及DFT计算H迁移路径对比
随后借助MedeA Phonon模块计算H在Zr中稳定间隙位及迁移路径上鞍点处振动频率(见表3),DFT与NNP计算值一致,总的来说,Zr-H NNP能准确计算各项重点参数。
表3. NNP及DFT计算H在Zr中稳定间隙及鞍点处振动频率

3.4 ZrHx性质计算
作者采用DFT和NNP计算ZrHx(γ-ZrH、δ-ZrH1.5、ε-ZrH2)晶体结构、力学性能及五个不同晶面的表面能(见表4)。NNP计算的晶格参数和体积在DFT值的1%以内;表面能及弹性常数NNP与DFT计算值非常一致。NNP在ZrHx体系中有较好的应用。
表4. NNP及DFT计算ZrHx性质对比。

作者借助MedeA LAMMPS模块基于NNP机器学习势函数模拟ε-ZrH2裂纹11种情况的几何形状,所有裂纹为物理行为。特别是趋向10(图4b),裂纹尖端区域经历旋转形成孪晶边界。Zr-H NNP非常适合研究Zr-H中断裂现象。

图3. NNP获得的裂纹尖端区域示意图 (a) 趋向11;(b) 趋向10
4、总结与展望
本案例中,作者开发了一种基于Behler-Parrinello框架的NNP机器学习势函数,能够用于分析Zr及Zr-H体系相关性质(如晶体结构、间隙能量、H迁移路径及力学性质等)。NNP因其良好的表现脱颖而出,为进一步研究Zr-H相图、振动熵、构型熵等研究奠定了基础。
参考文献:
DOI:10.1016/j.jnucmat.2024.155341
使用MedeA模块:
MedeA Environment
MedeA VASP
MedeA LAMMPS
MedeA MLP &MLPG
MedeA HT-Launchpad
MedeA MT
MedeA TSS
MedeA Phonon



