一、案例背景
随着电力需求的增加和铀资源的枯竭,新的核燃料引入燃料循环变得至关重要。钍基碳化物(如ThC)因其高高热性、耐辐射性和宽化学计量范围,被视为第四代反应堆和钍基熔盐堆的候选燃料材料。然而,实际反应堆环境中,燃料因辐射损伤会形成非化学计量相ThC1-x,碳空位浓度会影响结构稳定性及机械性能。本研究揭示了碳空位浓度对ThC1-x的结构、电子性质及热力学性质的影响。
二、建模与计算方法
作者通过MedeA Environment创建了ThC结构,借助Builder Supercell构建2x2x2超胞,然后创建ThC1-x(x=0.03125, 0.0625, 0.125, 0.1875, 0.25, 0.3125)结构;采用MedeA VASP模块中GGA-PBE方法,对体系进行结构优化,其中体系截断能为520 eV,8原子体系K点为9x9x9,64原子体系K点为5x5x5;力收敛精度为0.02 eV Å -1 ,电子收敛精度为10-5 eV。MedeA MT分析其机械性能与热力学性质。
三、结果与讨论
3.1 ThC1-x结构分析
为了考虑碳空位浓度对结构稳定性影响,研究人员采用随机取代方法,创建了ThC1-(x=0.03125, 0.0625, 0.125, 0.1875, 0.25, 0.3125)系列体系,通过MedeA VASP计算各体系晶格常数及体积变化(见表1)。研究发现碳空位浓度增加导致晶格常数减小并发生畸变,体积收缩;ThC0.75和ThC0.96875为两相区与单相区的边界,与实验观测一致;随着碳空位浓度x增加,ThC1-x总能量增加,说明空位降低结构稳定性。
表1 石蜡在300 K、1 atm下性质对比ThC1-x各结构晶格常数、体积、结构形成能及碳空位形成能

3.2 ThC1-x机械性能及热力学性质研究
作者通过MedeA MT模块研究ThC1-x机械稳定性与热力学性质。
1)从表2中可知,ThC1-x (x<0.25) 是立方相,结构稳定;随着碳空位浓度增加,弹性常数减小。
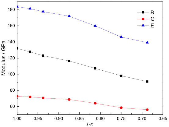
2)从图1中可知,随着碳空位浓度增加,体积模量B、剪切模量G和杨氏模量E均线性降低;ThC的B/G比为1.82是韧性材料,但当x>0.9375时B/G<1.75,材料转为脆性。
表2 各结构弹性常数及体模量B、剪切模量G及杨氏模量E、泊松比ν等

图1 中B、G及E随1-x变化图
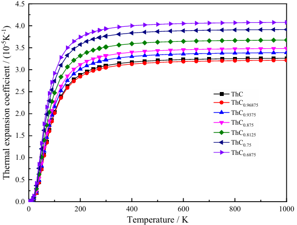
3)热膨胀系数(图2)在低温区快速上升,350K后趋于饱和,碳空位高浓度(x≥0.125)显著提升热膨胀系数,归因于空位破坏了晶格对称性。
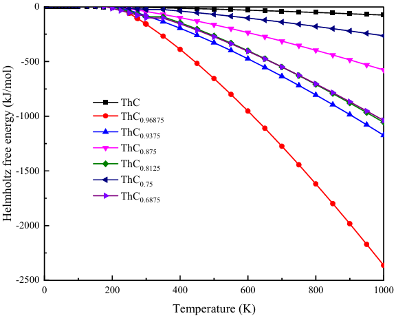
4)Helmholtz自由能(图3)随温度升高而降低,空位缺陷ThC0.96875对影响最为显著。

图2 ThC1-x(2x2x2)超胞热膨胀系数随温度变化图

图3 ThC1-x(2x2x2)超胞Helmholtz自由能随温度变化图
四、总结与展望
本案例中,作者利用密度泛函理论系统揭示了非化学计量ThC1-x结构稳定性与热力学性质。ThC1-x中随着碳空位浓度的增加,晶格常数减小并发生畸变,当x>0.25时结构由立方相转变为四方相;过度缺碳导致ThC1-x的韧性和延展性下降,甚至引发脆性。本研究技术结果可用于分析反应堆燃烧过程中ThC燃料的稳定性,且所述方法可拓展至其他钍基核燃料安全性和稳定性分析。
参考文献:
DOI: 10.3390/ma16237484
使用MedeA模块:
MedeA Environment
MedeA VASP
MedeA MT



